
© КЦ “Школа Орлова”
Оферта на оказание услуг (публичная оферта)
г. Москва 28 декабря 2024 г.
Настоящий договор является официальным предложением (публичной офертой), адресованным любому физическому или юридическому лицу (индивидуальному предпринимателю), которое соглашается с условиями настоящего документа путем полного и безоговорочного акцепта, в дальнейшем именуемому «Заказчик». Заказчик обязан полностью ознакомиться с настоящим документом до момента внесения оплаты. Документ является публичной офертой в соответствии с п. 2 ст. 437 Гражданского кодекса РФ.
Индивидуальный предприниматель Орлов Виталий Валерьевич (ИНН 770765011955, ОГРНИП 306770000258888), именуемая в дальнейшем «Исполнитель», выражает намерение заключить договор на оказание платных услуг с Заказчиком на условиях настоящей оферты (далее — Договор).
1. Общие положения
1.1. Акцептом настоящей публичной оферты в соответствии со ст. 438 ГК РФ считается осуществление Заказчиком таких действий, как:
ознакомление Заказчика с условиями Договора на Сайте https://online-shkola-orlova.ru/ и/или на странице системы приема платежей;
осуществление полной или частичной оплаты услуг в соответствии с условиями настоящего договора. С момента поступления денежных средств в счет оплаты услуг на расчетный счет Исполнителя настоящий договор считается заключенным между Заказчиком и Исполнителем;
выражение согласия на получение услуг на условиях Договора и на обработку Исполнителем персональных данных путем проставления отметки (галочки) в графе (чекбоксе) «Я даю согласие на обработку персональных данных согласно Политике конфиденциальности и принимаю условия Договора-оферты» или ином подобном уведомлении о принятии при оформлении заказа на приобретение услуг Исполнителя.
1.2. Акцепт оферты является подтверждением того, что все и любые условия Договора принимаются Заказчиком целиком и полностью без каких-либо оговорок и ограничений, при этом акцепт подтверждает, что Заказчику понятны все условия оказания Услуги и условия Договора, что Заказчик воспользовался правом получить у Исполнителя все и любые разъяснения относительно условий оказания услуг и Договора, а также подтверждает то, что условия оказания услуг и оферты полностью соответствуют воле, потребностям и требованиям Заказчика.
Акцепт означает, что Договор не содержит указанных в п. 2 ст. 428 ГК РФ условий, а равно не содержит иных явно обременительных для Заказчика условий, которые Заказчик, исходя из своих разумно понимаемых интересов, не принял бы при наличии у него возможности участвовать в определении условий Договора, а услуги, указанные в настоящей оферте, не являются навязанными Заказчику.
1.3. Принятие настоящей оферты и, соответственно, заключение настоящего Договора означает, что Заказчик в необходимой для него степени ознакомился с условиями настоящего Договора, описанием услуг на Сайте и правилами платежной системы, спецификой функционирования системы и Сайта, а также дает согласие на получение одного чека оплаты услуг по признаку «Полный расчет» в момент внесения полной стоимости услуг", признает безусловную пригодность оказываемых услуг и Сайта для совершения действий и достижения целей, являющихся предметом настоящего Договора.
Незнание условий настоящего Договора не является основанием для предъявления со стороны Заказчика каких-либо претензий к Исполнителю.
1.4. Осуществляя акцепт настоящей оферты, Заказчик подтверждает, что оказание Исполнителем услуг по настоящему договору дистанционно с использованием программного обеспечения (далее — ПО) полностью соответствует возможности Заказчика пользоваться услугами, оказываемыми таким способом.
1.5. После поступления заявки на предоставление услуг вся информация, представленная в заявке, является основой договора между Исполнителем и Заказчиком. При этом под Заказчиком (стороной по Договору) считается любое лицо, указанное в платежном документе, от имени которого произведена оплата по настоящему Договору (Плательщик). Если оплата произведена за третье лицо (это следует из платежного, иного официального документа или из личной переписки в мессенджере с Исполнителем), то Заказчиком по данному Договору является лицо, за которое произведена оплата.
1.6. В настоящем Договоре, если из его текста прямо не вытекает иное, следующие слова и выражения будут иметь указанные ниже значения:


Все остальные термины и определения, встречающиеся в тексте настоящего Договора, толкуются Сторонами в соответствии с действующим законодательством Российской Федерации и сложившимися в сети Интернет обычными правилами толкования соответствующих терминов.
2.Предмет договора
2.1. Предметом настоящего Договора является возмездное предоставление Заказчику услуг по проведению курсов по воспитанию собак в виде: онлайн-мероприятий (онлайн-встречи, вебинары, тренинги, мастер-классы, эфиры и т.д.), практических занятий и проверке домашних заданий, доступа к Материалам (видеозаписей или ссылок для их просмотра, раздаточных материалов в виде книг и чек-листов в формате pdf-файлов, аудио-кастов или ссылок для их прослушивания согласно выбранному Пакету услуг), а также предоставление иных услуг от Исполнителя (далее — «Услуги», «Услуга»). Иные виды услуг размещаются на Сайте и/или в Приложении № 1.
2.2. Заказчик оплачивает Услуги, а Исполнитель принимает на себя обязательства исполнить такие Услуги лично ему или третьему лицу в соответствии с выбранным Заказчиком Пакетом.
2.3. Услуга оказывается Исполнителем в дистанционном формате через сеть Интернет посредством программного обеспечения (ПО), если иное не указано на Сайте соответствующей Услуги. Заказчик вправе индивидуально с Исполнителем определять формат услуги.
Темы, программы, стоимость, описание Услуг и форма регистрации размещены на соответствующей странице (Сайте) продажи такой Услуги и/или в Приложении № 1 к настоящему Договору.
2.4. Услуга ограничена предоставлением Заказчику информации и формированием навыков ее самостоятельного использования.
3. Сроки оказания услуг
3.1. Срок действия данного Договора устанавливается в сроки, указанные на Сайте и/или в Приложении № 1 к настоящему Договору.
3.2. Услуги по настоящему Договору считаются оказанными с надлежащим качеством и в срок, а также принятыми Заказчиком, если в течение 3 (трех) календарных дней по истечению срока, указанного в п. 3.1 настоящего Договора для соответствующей услуги, Заказчик не заявил мотивированного возражения на качество и объем таких услуг путем отправки заявления по адресу электронной почты admin@online-shkola-orlova.ru.
3.3. Стороны пришли к соглашению, что акт сдачи-приемки в отношении Услуг, оказываемых по настоящему Договору не оформляется. Отсутствие претензий со стороны Заказчика, направленных в письменной форме в адрес Исполнителя в течение 3 (трех) календарных дней с даты завершения Пакета услуг в целом (согласно п. 3.1. Договора), будет считаться подтверждением факта полной и безоговорочной приемки по качеству и объему Услуг, оказанных в рамках такого Пакета услуг в целом.
3.4. Доступ к Материалам основного курса и дополнительным материалам могут сохраняться за Заказчиком в зависимости от приобретенного Пакета услуг. Срок доступа к указанным материалам указывается на Сайте продажи Услуги и/или в Приложении № 1 к настоящему Договору.
4. Порядок оказания услуг
4.1. Исполнитель оказывает Услуги по настоящему Договору в соответствии с выбранным Заказчиком Пакету услуг, указанным в Приложении № 1.
4.2. Заказчик формирует заявку на получение Услуги на Сайте и/или в личных сообщениях в мессенджере с Исполнителем. На основании полученной заявки Исполнитель выставляет Заказчику счет на оплату на Сайте либо направляет счет на электронную почту/мессенджер Заказчика, указанный в заявке, если иной порядок оплаты не согласован Сторонами.
После осуществления оплаты Исполнитель получает письмо, подтверждающее получение платежа по договору, и дальнейшую инструкцию по регистрации на Сайте, в том числе с Заказчиком в мессенджере связывается Исполнитель для уточнения порядка оказания Услуг.
4.3. Услуги, предоставляемые Исполнителем по Договору, включают в себя:
4.3.1. Услуги в форме предоставления доступа к Материалам, записям онлайн-мероприятий;
4.3.2. Услуги в форме онлайн-мероприятия (в том числе онлайн-встречи, вебинары, тренинги, мастер-классы, эфиры в случае если это предусмотрено Пакетом услуг);
4.3.3. Услуги в форме практических занятий и проверке домашнего задания;
4.3.4. Услуги в форме предоставления доступа к закрытому сообществу;
4.3.5. Иные услуги, входящие в состав соответствующих Пакетов Услуг, указанных в описании, расположены на Сайте: https://online-shkola-orlova.ru/ и/или в Приложении № 1.
4.4. Услуги в форме предоставления доступа к Материалам, записям онлайн-мероприятий.
Исполнитель вправе предоставить доступ к Материалам на Платформе, записям онлайн-мероприятий. Доступ к Услугам по настоящему Договору осуществляется Исполнителем следующим образом:
4.4.1. Для оказания услуг в виде предоставления доступа к Материалам, видеозаписям в формате mp4-файлов или ссылок для их просмотра, материалов в виде книг и чек-листов в формате pdf-файлов, аудио-кастов в формате mp3-файлов или ссылок для их прослушивания, иных Материалов — доступ к их просмотру (скачиванию, прослушиванию) осуществляется Исполнителем после поступления оплаты (полной или частичной) от Заказчика.
Материалы размещаются Исполнителем в соответствующем разделе Платформы, доступ к их просмотру (скачиванию, прослушиванию) осуществляется Исполнителем после поступления оплаты от Заказчика.
Исполнением обязательства по предоставлению доступа к указанным в настоящем пункте Материалам считается факт направления соответствующих ссылок на электронный ящик/мессенджер Заказчика, либо предоставления доступа к таким материалам в закрытом разделе Платформы, где они размещены. Для получения Материалов в закрытом разделе Платформы Исполнителя Заказчику может понадобится зарегистрироваться на такой Платформе.
В том случае, если Заказчик не использовал предоставленные Материалы по причинам, не зависящим от воли Исполнителя, последний не несет ответственности за неполучение Заказчиком услуг, указанных в настоящем пункте.
4.4.2 Доступ к Материалам может предоставляться Заказчику поэтапно. Предоставление доступа к Материалам последующего модуля или тренингу обусловлено успешным выполнением Заказчиком задания текущего модуля или тренингу. В противном случае, последующие Материалы не предоставляются Заказчику.
4.5. Услуги в форме онлайн-мероприятия (в том числе онлайн-встречи, вебинары, тренинги, мастер-классы, эфиры)
Онлайн-мероприятия (онлайн-встречи, вебинары, тренинги, мастер-классы, эфиры в случае если это предусмотрено Пакетом услуг) проводятся Исполнителем согласно Пакету услуг.
На период праздничных дней периодичность проведение таких мероприятий корректируется, текущее мероприятие может быть перенесено на ближайшие рабочие дни.
4.5.1. По обстоятельствам, не зависящим от воли Исполнителя, проведение мероприятия может быть отложено по решению Исполнителя на время действия таких обстоятельств, о чем Заказчик незамедлительно уведомляется по электронной почте/мессенджеру, указанным при покупке Услуги, а также иными средствами современной коммуникации.
Информация о времени и месте проведения мероприятия для непосредственного участия Заказчика направляется на адрес электронной почты/мессенджер Заказчика, указанных им при покупке Услуги.
4.5.2. Исполнением обязательства по проведению онлайн-мероприятия считается факт проведения соответствующего мероприятия по такой Услуге в сроки, количестве, установленным на Сайте и/или мессенджере.
4.6. Услуги в форме практических занятий и проверке домашних заданий
Услуги в форме практических занятий и проверке домашнего задания проводятся согласно Пакету услуг. Данная услуга представляет собой проведение занятия в чатах в мессенджере, где участники получают обратную связь по выполненным домашним заданиям и разбирают свои работы для закрепления материала на практике.
4.6.1. Услуги по практическим занятиям и проверке домашних заданий осуществляются в следующем порядке: Заказчик в течение установленного Исполнителем срока предоставляет информацию в чате в мессенджере. Заказчик предоставляет видеоматериал/текстовый материал с выполненным заданием, а Исполнитель на основании полученной информации дает обратную связь в письменном (в чате в мессенджере) или в устном виде (в чате в мессенджере).
4.6.2. Обязательства по оказанию услуги в виде практических занятий и проверке домашних заданий считается факт направления Исполнителем обратной связи на основании полученной информации от Заказчика в чате в мессенджере. В том числе Исполнитель вправе информировать Заказчика о необходимости направить информацию по услуге.
Если Заказчик не предоставил информацию по причинам, не зависящим от воли Исполнителя, последний не несет ответственности за неполучение Заказчиком услуг, указанных в настоящем пункте, тем самым услуги считаются оказанными.
4.6.3. В случае, если Заказчик передает отчет по домашнему заданию в нерабочий день, то Исполнитель осуществляет проверку по нему в первый рабочий день, следующий за нерабочим.
4.7. Услуги в форме предоставления доступа к закрытому сообществу (онлайн-чату)
Для оказания услуг в виде предоставления доступа к закрытому сообществу в мессенджере (в том числе в формате «онлайн — чата», «онлайн-форума»), в котором Заказчик может задать вопросы по теме и обмениваться информацией с другими участками Услуги, при покупке Пакета услуг доступ к материалам закрытого сообщества предоставляется в виде ссылки для входа в чат внутри Личного кабинета Заказчика после его активации или путем отправки на электронную почту/мессенджер, указанные при регистрации.
4.7.1. Исполнением обязательства по настоящему пункту считается получение доступа к такому сообществу, вне зависимости от того, пользовался ли Заказчик такой Услугой или нет.
4.8. Заказчик самостоятельно следит за всеми обновлениями и изменениями информации, поступающими от Исполнителя в рамках исполнения настоящего договора, своевременно и самостоятельно знакомится со сроками оказания услуг, их объемом и содержанием на Сайте, по электронной почте или в личных сообщениях в мессенджере, а также вносимыми Исполнителем изменениями. Риск наступления неблагоприятных для Заказчика последствий в случае ненадлежащего выполнения обязательств регламентированных данным пунктом, в полном объеме лежит на Заказчике.
5. Права и обязанности сторон
5.1. ИСПОЛНИТЕЛЬ ОБЯЗУЕТСЯ:
5.1.1. Организовать и обеспечить надлежащее качественное оказание услуг, предусмотренных в разделе 2 настоящего Договора в полном объеме и в установленные сроки. Перед совершением оплаты Исполнитель предоставляет Заказчику всю необходимую информацию о предстоящем оказании Услуг.
5.1.2. Предоставить Заказчику доступ к Платформе, чату группы, Материалам для прохождения курса после поступления оплаты от Заказчика и не позднее, чем за 24 (двадцать четыре) часа до начала программы.
5.1.3. Считать информацию, получаемую от Заказчика конфиденциальной и не разглашать эту и другую информацию третьим лицам о персональных данных без его согласия. При этом осуществлять обработку полученных данных только с целью исполнения настоящего договора в соответствии с Политикой конфиденциальности, утвержденной Исполнителем.
5.1.4. Консультировать Заказчика по организационным и техническим вопросам оказания Услуг с 09:00 до 21:00 (организационные вопросы), с 10:00 до 19:00 (технические и административные вопросы) по Московскому времени с понедельника по пятницу. В экстренных случаях, например, в случае обрыва Интернет-соединения на стороне Исполнителя, для уведомления об изменении формата (даты, времени) оказания Услуги, Исполнитель может использовать другие методы связи с Заказчиком, включая электронную почту, уведомление на мобильный телефон Заказчика в мессенджерах, либо иные способы передачи информации.
5.2. ИСПОЛНИТЕЛЬ ВПРАВЕ:
5.2.1. Отказать в предоставлении услуг Заказчику в случае непоступления оплаты по выбранной Услуге в установленные сроки.
5.2.2. Самостоятельно определять формы и методы оказания Услуг исходя из требований законодательства РФ, а также конкретных условий Договора с учетом пожеланий Заказчика.
5.2.3. Оказывать иные услуги по договоренностям с Заказчиком, оформленных в виде дополнительных соглашений к договору или путем переписки по каналам связи (номер телефона, e-mail, мессенджер и т.д.).
5.2.4. Требовать от Заказчика добросовестного исполнения взятых на себя обязательств, уважительного отношения к иным участникам Услуги и к Исполнителю лично (запрещаются нецензурные высказывания, хамство, оскорбление и др.).
5.2.5. Изменять условия настоящего Договора в одностороннем порядке, без предварительного согласования с Заказчиком, обеспечивая при этом публикацию измененных условий на Сайте по адресу: https://online-shkola-orlova.ru/, не менее чем за 1 (один) день до их введения в действие.
5.2.6. Изменять в одностороннем порядке график размещения Материалов, проведения обратной связи по проверке домашних заданий и иным услугам, не меняя при этом установленную периодичность их проведения, а также менять и дополнять содержание тренингов и заданий для Заказчика.
Исполнитель уведомляет Заказчика об указанных изменениях путем направления соответствующего сообщения по адресу электронной почты и/или в мессенджере и при этом Заказчик обязан самостоятельно знакомиться с указанными изменениями.
5.2.7. В одностороннем порядке расторгнуть настоящий Договор в случае существенного нарушения Заказчиком условий настоящего Договора. При этом денежные средства, оплаченные Заказчиком по настоящему договору, возврату не подлежат и являются штрафной неустойкой за действия Заказчика.
Под существенным нарушением условий настоящего Договора понимается любое нарушение авторских прав, регламентированных действующим законодательством РФ об авторском праве, в том числе однократное нарушение Заказчиком п. 5.3.7. настоящего договора.
По усмотрению Исполнителя в зависимости от характера нарушения существенным может быть признано любое нарушение Заказчиком правил, установленных п. 5.3.4., 5.3.6 — 5.3.14. настоящего договора, совершенное однократно и/или более двух раз.
5.2.8. Привлекать для оказания услуг в соответствии с настоящим договором третьих лиц (администратор, технический специалист, иные лица).
5.2.9. При оказании Услуг имеет право проводить фото- и видеосъемку процесса оказания Услуги, выставлять в социальные сети и сеть Интернет материалы с участием Заказчика, а также его отзывы.
5.2.10. Заблокировать ключ персонального доступа при любой попытке Заказчика копирования, передачи материалов третьим лицам. В таком случае Исполнитель вправе взыскать с Заказчика фактически понесенные расходы и убытки, в том числе моральный ущерб и в одностороннем порядке расторгнуть настоящий Договор.
5.2.11. В любой момент потребовать от Заказчика подтверждения данных, указанных им при акцепте, и запросить в связи с этим подтверждение личности Заказчика.
5.3. ЗАКАЗЧИК ОБЯЗУЕТСЯ:
5.3.1. Самостоятельно знакомиться на Сайте с информацией о сроках, программе и условиях предоставления соответствующей Услуги.
5.3.2. Иметь персональный компьютер или иное портативное (мобильное) устройство с доступом в сеть Интернет, оборудованное наушниками и микрофоном, а также с установленным ПО, необходимые и достаточные для получения приобретенной Услуги.
5.3.3. Придерживаться установленного графика оказания Услуг, целей и сути выполнения заданий Исполнителя, выполнять рекомендации и требования Исполнителя в рамках оказания услуг по настоящему договору, обеспечить свое непосредственное участие на мероприятиях согласно приобретенной Услуги.
5.3.4. Своевременно производить оплату Услуг по настоящему Договору в установленные сроки.
5.3.5. Предоставить Исполнителю актуальную и достоверную информацию, необходимую для получения Материалов, а также для оперативной связи в рамках оказания услуг по настоящему договору, а именно: фамилия и имя, действующий почтовый ящик, контактный телефон.
5.3.6. Проявлять уважение к Исполнителю, другим участникам Услуги, приглашенным лицам Исполнителя (спикеры, администраторы и иные лица). Запрещаются нецензурные высказывания, хамство, оскорбление и др.
5.3.7. Не осуществлять запись, не распространять (публиковать, размещать на Интернет-сайтах, копировать, передавать или перепродавать третьим лицам) в коммерческих или некоммерческих целях предоставляемую Исполнителем Заказчику информацию и Материалы в рамках настоящего Договора, создавать на ее основе информационные продукты с целью извлечения коммерческой прибыли, а также использовать эту информацию каким-либо иным образом, кроме как для личного пользования.
5.3.8. Не передавать третьим лицам и обеспечивать конфиденциальность паролей доступа к личному кабинету в специальное ПО, используемое для организации Исполнителем услуг по настоящему Договору, а также обеспечить конфиденциальность ссылок на просмотр записей Материалов, полученных от Исполнителя по настоящему договору.
5.3.9. Не изменять каким бы то ни было способом программную часть Сайта, с которого осуществляется оказание Услуг, не совершать какие-либо действия, направленные на изменение функционирования и работоспособности Сайта.
5.3.10. Не размещать на Сайте персональные данные третьих лиц без их согласия, в том числе домашние адреса, телефоны, паспортные данные, адреса электронной почты.
5.3.11. Не размещать на Сайте коммерческую рекламу, коммерческие предложения, агитационную информацию и любую другую навязчивую информацию, кроме случаев, когда размещение такой информации согласовано с Исполнителем.
5.3.12. Не распространять в открытом доступе в Сети информацию о порядке и результатах взаимодействия Заказчика и Исполнителя, в том числе по вопросам оказания услуг, возвратов по настоящему договору или рассмотрения претензий, вытекающих из настоящего договора. Нарушение указанного обязательства рассматривается как несанкционированное раскрытие коммерческой тайны и/или причинение ущерба чести и деловой репутации Исполнителя и его коммерческому проекту.
5.3.13. Не распространять порочащие сведения об Исполнителе или его Услуге, привлеченных специалистов (спикеры, администраторы и т.д.), которые могут причинить вред чести, достоинству и деловой репутации Исполнителя и его коммерческому проекту.
5.4. ЗАКАЗЧИК ВПРАВЕ:
5.4.1.Требовать надлежащего исполнения Исполнителем своих обязательств по настоящему Договору.
5.4.2. Обращаться к Исполнителю по всем вопросам, связанным с оказанием Услуг, а также задавать вопросы, связанные с оказанием Услуг.
5.4.3. Получать информацию по любым вопросам, касающимся организации исполнения Услуг по настоящему договору.
5.4.4. Посещать онлайн-мероприятия и просматривать видеоматериалы в записи, иметь доступ к Материалам на период оказания Услуг.
6. Стоимость услуг и порядок их оплаты
6.1. Стоимость Услуг по настоящему Договору указывается на Сайте продажи, в Приложении № 1 к настоящему Договору и может быть изменена Исполнителем в любое время в одностороннем порядке. Новая стоимость вступает в силу с момента опубликования и не распространяется на оплаченные к моменту опубликования таких изменений услуги.
6.2. Оплата выбранной услуги производится Заказчиком путем зачисления денежных средств в порядке предоплаты в размере 100% от стоимости услуг.
6.3. По согласованию Сторон возможна частичная оплата Услуг (в два и более платежей). Условия рассрочки платежа (размер и сроки) согласовываются сторонами в соответствующих конкретных случаях или могут быть определены Исполнителем заранее на Сайте продажи Услуги.
Если Заказчик нарушает условия рассрочки, Исполнитель вправе приостановить оказание услуг до момента устранения Заказчиком таких нарушений. Соответствующее уведомление Исполнителя направляется на электронный адрес Заказчика, указанный при оплате, либо в мессенджер по номеру телефона Заказчика.
В случае, если Заказчик не устранил указанные нарушения в течение 5 (пяти) дней с момента направления уведомления Исполнителя, то настоящий договор считается исполненным в объеме тех услуг, доступ по которым был оплачен, и расторгнутым по инициативе Заказчика. При этом оплаченные ранее денежные средства не возвращаются.
6.4. Оплата Заказчиком Услуг осуществляется одним из следующих способов (по выбору Заказчика и согласно договоренностям с Исполнителем):
6.4.1. в безналичной форме;
6.4.2. в наличной форме по реквизитам Исполнителя путем внесения наличных денежных средств в банковском отделении или через платежную систему, осуществляющей деятельность по приему платежей, иными способами (согласованными с Исполнителем), с направлением Исполнителю копии документа, подтверждающего оплату, на адрес электронной почты Исполнителя
admin@online-shkola-orlova.ru.
6.5. Моментом оплаты считается поступление денежных средств на расчетный счет Исполнителя.
6.6. На Сайте могут быть предоставлены дополнительные услуги, связанные с порядком оказания Услуг. Подробная информация об услуге, ее стоимости, сроках проведения и иные существенные сведения указаны на Сайте. Факт оплаты таких дополнительных услуг будет означать согласие Заказчика со всей информацией об услугах, представленных на Сайте.
7. Отказ от договора и порядок возврата денежных средств
7.1. Заказчик вправе отказаться от исполнения настоящего Договора (до момента его полного исполнения) и получить возврат денежных средств, за вычетом стоимости оказанных Услуг к моменту возврата и (или) расходов, понесенных Исполнителем, связанных с исполнением Договора.
7.2. Принимая решение о возврате, Исполнитель вправе удержать часть стоимости Услуг для возмещения фактических затрат, которые он понес на момент получения заявления о возврате.
К фактическим затратам Исполнителя относятся расходы, совершенные на момент получения заявления о возврате, в частности:
стоимость предоставленных Заказчику Материалов на Платформе (модулям курсов без учета количества пройденный тренингов внутри отдельного модуля),
стоимость проведенных на момент получения заявления о возврате онлайн-мероприятий, практических занятий,
стоимость услуг по предоставлению доступа к закрытому сообществу (онлайн-чату) с проверкой домашних заданий;
расходы на использованное Исполнителем в процессе оказания Услуг ПО или оплату услуг третьих лиц,
комиссии банковских, кредитных организаций и соответствующих платежных систем за осуществление приема денежных средств.
Конкретная сумма фактических затрат для каждого случая определяется Исполнителем. В том числе размер фактических затрат указан в Приложении № 1 и представлен в виде распределения общей стоимости программы на составные части.
7.3. В том случае, если Заказчик не участвовал без уважительных причин, подтвержденных документально, на онлайн-мероприятиях, иных услугах, организованных Исполнителем, стоимость услуг также подлежит включению в состав расходов Исполнителя, в связи с обстоятельствами, не зависящими от воли Исполнителя.
7.4. Требование о возврате оплаченных сумм, предъявленное Заказчиком позже срока, установленного пунктом 7.1. настоящего договора, то есть когда услуга была оказана полностью, Исполнителем рассматривается, но не подлежит удовлетворению, так как:
— односторонний отказ от договора, который был фактически исполнен, не допускается действующим законодательством РФ.
7.5. Все заявления о возврате денежных средств принимаются только в письменном виде и только на электронную почту Исполнителя
admin@online-shkola-orlova.ru с указанием в строке тема сообщения «Возврат».
Для отправки такого заявления Заказчику необходимо заполнить заявление, распечатать его, поставить свою личную подпись, отсканировать и отправить документ на электронную почту в формате PDF или JPEG Исполнителя admin@online-shkola-orlova.ru.
Образец заявления можно получить лично у Исполнителя.
7.6. Обязательные пункты заявления на возврат денежных средств:
наименование адресата и данные заявителя;
наименование Услуги, по которой заявляется отказ от договора и возврат оплаты;
причины обращения за возвратом денежных средств;
сумма оплаты Услуг;
реквизиты для перевода денежных средств;
приложения, дата, подпись и расшифровка.
7.7. К заявлению о возврате должны быть приложены фотокопия документа, удостоверяющего личность заявителя (для паспорта гражданина РФ — главная страница и прописка), скриншот платежного документа, свидетельствующего об оплате в формате PDF или JPEG.
7.8. Принятие решения о возврате или об отказе в возврате денежных средств и непосредственно возврат (в случае принятия удовлетворительного решения) осуществляется Исполнителем в течение 10 (десяти) дней с момента получения соответствующего заявления Заказчика.
Денежные средства возвращаются на счет Заказчика, реквизиты которого указаны в заявлении.
7.9. В случае удовлетворения заявления о возврате денежных средств доступ к Материалам для Заказчика прекращается в течение 1 (одного) рабочего дня с даты направления Исполнителем Заказчику решения о соответствующем возврате.
7.10. В случае невозможности возврата денежных средств способом, предусмотренным пунктом 7.8 Договора, Исполнитель уведомляет об этом Заказчика в течение срока, установленного пунктом 7.8 Договора. В этом случае возврат денежных средств осуществляется иным способом, дополнительно согласованным Сторонами.
7.11. Указанное требование Заказчика о возврате также считается отзывом заранее данного акцепта, указанного в разделе 1 настоящего Договора.
8. Ответственность
8.1. В случае нарушения условий настоящего договора, стороны несут ответственность согласно действующему законодательству Российской Федерации.
8.2. Исполнитель не несет ответственность за нарушение условий Договора в случае предоставления Заказчиком недостоверной и/или неполной информации о себе во время оформления заказа на Сайте, в т.ч. контактной информации (e-mail, телефон и т.п.), а также в случае не предоставления Заказчиком новой контактной информации (e-mail, телефон).
8.3. Исполнитель не несет ответственности за невозможность оказания услуг Заказчику по причинам, не зависящим от Исполнителя, а именно: нарушение работы Интернета, оборудования или ПО со стороны Заказчика, сбои в работе служб email-рассылки, в том числе при попадании писем Исполнителя в папку «Спам», предоставление Заказчиком недостоверной информации, необходимой для исполнения обязательств по настоящему Договору. В данном случае услуги считаются оказанными надлежащим образом и подлежащим оплате в полном размере.
8.4. Исполнитель не несет ответственности за практическую применимость и ценность информации, предоставляемой в процессе оказания Услуг.
8.4.1. Никакая информация, материалы и/или консультации, предоставляемые Исполнителем в рамках оказания услуг по настоящему договору, не могут рассматриваться как гарантии достижения результата, так как это полностью зависит от действий самого Заказчика, его личностных качеств, качества и скорости освоения/внедрения получаемых от Исполнителя знаний и материалов.
Принятие решений на основе всей предоставленной Исполнителем информации находится в исключительной компетенции Заказчика. Заказчик принимает на себя полную ответственность и риски, связанные с использованием информации и материалов, предоставленных Исполнителем в рамках исполнения своих обязательств по настоящему Договору.
8.4.2. Исполнитель не несет ответственности за то, каким образом Заказчик использовал полученную информацию, а также за достижение каких-либо результатов, связанных с практическим применением данной информации. Любые рекомендации, полученные в ходе оказания услуг, осуществляются Заказчиком на свой риск.
8.5. Исполнитель не несет ответственность за изменения (обновления), вносимые разработчиками (владельцами) программного обеспечения и онлайн-сервисов, по факту которых осуществляется оказание Услуг по настоящему договору.
8.6. Исполнитель не несет ответственность за действия банков, электронных платежных систем, обеспечивающих оплату и возвраты денежных средств при заключении, исполнении и расторжении Договора.
9. Обстоятельства непреодолимой силы
9.1. Стороны освобождаются от ответственности за неисполнение или ненадлежащее исполнение обязательств по настоящему Договору на время действия непреодолимой силы (форс-мажорных обстоятельств). В течение этого времени Стороны не имеют взаимных претензий и каждая из сторон принимает на себя свой риск последствия форс—мажорных обстоятельств. О возникновении таких обстоятельств Исполнитель обязан уведомить Заказчика путем размещения информации на Сайте и/или на электронный почтовый ящик, указанный Заказчиком при совершении оплаты, а Заказчик обязан направить Исполнителю письмо на электронную почту admin@online-shkola-orlova.ru с указанием в строке тема сообщения «Форс-мажор».
Под обстоятельствами непреодолимой силы (форс-мажорными обстоятельствами) Стороны понимают: пожар, наводнение, землетрясение, забастовки и другие стихийные бедствия, война и специальная военная операция, вступление в силу нормативных правовых актов и актов применения права, препятствующих исполнению обязательств, вынужденная срочная (внеплановая) госпитализация, подтвержденная документально, если вышеперечисленные обстоятельства находятся вне контроля Сторон, препятствуют выполнению настоящего договора и возникли после заключения настоящего договора.
9.2. В случае возникновения форс-мажорных обстоятельств, Стороны обязуются сообщить о таких обстоятельствах и согласовать дальнейшие условия сотрудничества. Если вышеуказанные обстоятельства длятся более 6 (шести) месяцев, каждая Сторона проводят дополнительные переговоры для выявления приемлемых альтернативных способов исполнения настоящего Договора. Если Стороны не смогли договориться, каждая из Сторон вправе потребовать расторжение Договора.
9.3. Отсутствие времени у Заказчика по любым основаниям, например, нахождение в отпуске, командировке, отсутствие доступа к сети Интернет, а равно поломка средства доступа к сети Интернет не являются обстоятельствами непреодолимой силы (форс-мажорными обстоятельствами).
10. Персональные данные и их использование
10.1. Осуществляя акцепт настоящей оферты, Заказчик дает свое согласие на обработку персональных данных в соответствии с Федеральным законом от 27.07 2006 № 152-ФЗ «О персональных данных». Исполнитель принимает на себя обязательства сохранения конфиденциальности персональных данных Заказчика.
10.2. Обработка персональных данных означает запись, систематизацию, накопление, хранение, уточнение (обновление, изменение), извлечение, использование, передачу (распространение, предоставление, доступ), обезличивание, блокирование, удаление, уничтожение персональных данных, не подпадающих под специальные категории, на обработку которых согласно действующему законодательству Российской Федерации, требуется письменное согласие Заказчика.
10.3. Обработка персональных данных производится в целях исполнения Исполнителем обязательств по настоящему договору, обеспечения Заказчика обратной связью при использовании Сайта/Платформы, а также в целях направления на указанный Заказчиком при регистрации (покупке Услуг) адрес электронной почты информационных сообщений.
10.4. Обработка персональных данных Заказчика производится Исполнителем с использованием баз данных, размещенных на территории Российской Федерации.
10.5. Заказчик может в любое время отозвать согласие на обработку персональных данных, направив Исполнителю соответствующее уведомление на адрес:
admin@online-shkola-orlova.ru. При этом Заказчик понимает и признает, что отзыв на обработку персональных данных может потребовать удаления любой информации, касающейся предоставлению Заказчику Услуг, в том числе удаления учетной записи и прекращения доступа к материалам приобретенного курса.
10.6. Заказчик дает согласие на получение информационных рассылок от Исполнителя на адрес электронной почты и контактный телефон, указанные Заказчиком при регистрации на Сайте.
Согласие на получение информационных рассылок может быть отозвано Заказчиком в любое время путем направления Исполнителю соответствующего уведомления на электронный адрес:
admin@online-shkola-orlova.ru.
10.7. Заказчик дает свое согласие на использование его изображения в качестве фотографии Заказчика (аватара), а также на публикацию видеоматериалов с его участием Исполнителем на безвозмездной основе.
11. Права на результаты интеллектуальной деятельности
11.1. Исключительные и личные неимущественные права на Сайт, любые результаты интеллектуальной деятельности, размещенные на Сайте или содержащиеся в материалах, используемых при оказании услуг, принадлежат Исполнителю или иным лицам, заключившим с Исполнителем соглашение, дающее ему право размещать результаты интеллектуальной деятельности этих лиц на Сайте, при оказании услуг или в их составе, и охраняются в соответствии с действующим законодательством Российской Федерации.
11.2. Действия и/или бездействие Заказчика, повлекшие нарушение прав Исполнителя или направленные на нарушение прав Исполнителя на Сайт/Платформу, материалы, используемые при оказании услуг или их компоненты, влекут уголовную, гражданскую и административную ответственность в соответствии с законодательством Российской Федерации.
В том числе в случае нарушения Заказчиком данного раздела, Исполнитель вправе потребовать компенсации всех причиненных убытков, включая упущенную выгоду.
11.3. Используя Сайт (Сайты)/Платформу Исполнителя, Заказчик признает и соглашается с тем, что все содержимое Сайта (Сайтов)/Платформы и структура его содержимого защищены авторским правом, правом на товарный знак и другими правами на результаты интеллектуальной деятельности, и что указанные права являются действительными и охраняются во всех формах, на всех носителях и в отношении всех технологий, как существующих в настоящее время, так и разработанных или созданных впоследствии. Никакие права на любое содержимое Сайта/Платформы Исполнителя, включая, помимо прочего, аудиовизуальные произведения, текстовые и графические материалы, программы для ЭВМ, товарные знаки не переходят к Заказчику в результате пользования Сайтом/Платформой и заключения настоящего договора.
Все результаты интеллектуальной деятельности, содержащиеся на Сайте/Платформе и в материалах, используемых при оказании услуг, могут быть использованы Заказчиком исключительно в личных целях. Заказчик не вправе использовать такие результаты иными способами.
11.4. Всю информацию и материалы, полученные в ходе оказания услуг, не разрешается тиражировать, копировать, воспроизводить, распространять, передавать третьим лицам, публиковать в электронной, бумажной или иной форме или использовать без предварительного разрешения Исполнителя.
11.5. Заказчик обязуется давать ссылку на Исполнителя (в сети интернет обязательно активную гиперссылку на сайт по адресу: https://online-shkola-orlova.ru/) при любом письменном или устном упоминании участия в оказанных услугах по настоящему Договору без раскрытия подробностей полученной информации и материалов.
11.6. Заказчик обязуется не выполнять следующих действий:
11.6.1. распространять полученные материалы Исполнителя любым из возможных способов;
11.6.2. организовывать или проводить собственные тренинги, вебинары, мастер-классы или занятия, создавать собственные курсы с использованием материалов Исполнителя;
11.6.3. осуществлять действия, направленные на нарушение нормального функционирования и проведения курсов Исполнителя;
11.6.4. передавать и/или предоставлять доступ третьим лицам;
11.6.5. осуществлять иные действия, не предусмотренные Договором, но содержащие состав уголовного либо административного правонарушения, либо нарушающих права и законные интересы Исполнителя или третьих лиц.
12. Порядок разрешения споров
12.1. Все споры, разногласия и претензии, которые могут возникнуть в связи с исполнением, расторжением или признанием недействительным Договора, Стороны будут стремиться решить путем переговоров. Досудебный порядок урегулирования спора обязателен.
12.2. Указанное в пункте 12.1. Договора сообщение направляется Заказчиком в виде электронного письма по адресу
admin@online-shkola-orlova.ru. Сообщение должно содержать суть предъявляемого требования, доказательства, подтверждающие требование.
12.3. Получатель претензии в течение 10 (десяти) календарных дней со дня получения претензии по каналам связи, указанным в п. 12.2. Договора, письменно уведомляет заявителя претензии о результатах рассмотрения претензии.
12.4. В случае невозможности разрешения разногласий в установленный срок согласно п. 12.3. Договора, спор подлежит рассмотрению в соответствующем суде соответствующей юрисдикции по месту жительства Исполнителя в установленном законодательством Российской Федерации порядке.
12.5. Совокупная ответственность Исполнителя по настоящему договору по любому иску или претензии в отношении договора или его исполнения ограничивается суммой платежа, уплаченного Исполнителю Заказчиком. При этом с Исполнителя может быть взыскан только реальный ущерб, но не упущенная выгода.
13. Заключительные положения
13.1. Настоящий договор вступает в силу с момента акцепта Заказчика в соответствии с разделом 1 Договора и действует до полного исполнения обязательств сторонами.
13.2. По всем вопросам, не урегулированным настоящим договором, стороны руководствуются действующим законодательством Российской Федерации.
13.3. Признание судом какого-либо положения настоящего договора недействительным или не подлежащим принудительному исполнению не влечет недействительности иных его положений.
13.4. Настоящим Стороны подтверждают, что при исполнении настоящего Договора, а также при ведении переписки между Сторонами, допускается использование аналогов собственноручной подписи Сторон. Стороны подтверждают, что все уведомления, сообщения, соглашения и документы в рамках исполнения Сторонами обязательств, возникших из настоящего Договора, подписанные с помощью обмена электронными документами, содержащими скан собственноручной подписи Сторон, имеют юридическую силу и обязательны для исполнения Сторонами, при условии, что при этом используются уполномоченные адреса электронной почты.
13.5. Стороны признают, что все уведомления, сообщения, соглашения, документы и письма, направленные с использованием уполномоченных адресов электронной почты, считаются направленными и подписанными Сторонами, кроме случаев, когда в таких письмах прямо не указано обратное.
Уполномоченными адресами электронной почты Сторон признаются:
для Исполнителя адрес электронной почта admin@online-shkola-orlova.ru.
для Заказчика: адрес электронной почты или номер телефона (мессенджер), указанный при покупке Услуги.
13.6. Стороны обязуются обеспечивать конфиденциальность сведений и информации, необходимых для доступа к уполномоченным адресам электронной почты Заказчика, не допускать разглашение такой информации и передачу третьим лицам. Стороны самостоятельно определяют порядок ограничения доступа к такой информации.
13.7. До момента получения от Заказчика информации о нарушения режима конфиденциальности, все действия и документы, совершенные и направленные с помощью уполномоченного адреса электронной почты Заказчика, даже если такие действия и документы были совершены и направлены иными лицами, считаются совершенными и направленными Заказчиком. В этом случае права и обязанности, а также ответственность наступают у Заказчика.
13.8. До момента получения от Исполнителя информации о нарушения режима конфиденциальности, все действия и документы, совершенные и направленные с помощью его уполномоченного адреса электронной почты, даже если такие действия и документы были совершены и направлены иными лицами, считаются совершенными и направленными Исполнителем.
13.9. Стороны установили, что скриншоты переписки по электронной почте или в сообщениях в мессенджере, совершенной по реквизитам, указанным в настоящем Договоре, во исполнение настоящего Договора, являются достаточным и допустимым доказательством для подтверждения тех фактов, которые в них указаны, без специального нотариального удостоверения таких фактов и скриншотов.
14. Реквизиты Исполнителя
ИП Орлов Виталий Валерьевич
ИНН 770765011955
ОГРНИП 306770000258888
Адрес: г. Москва, ул. Сходненская, д. 32, кв 7





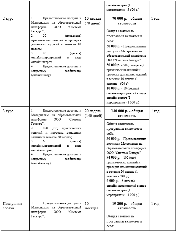
1. Содержание Услуг может быть изменено Исполнителем в любое время в одностороннем порядке при проведении акций и/или использования отдельной системы скидок. Новое содержание Услуг вступает в силу с момента опубликования на Сайте и не распространяется на оплаченные к моменту опубликования таких изменений услуги.
Содержание Услуги приобретенной Заказчиком в момент действия акций (системы скидок) указывается в электронном сообщении, направленном по электронной почте или в сервисе для обмена мгновенными сообщениями (мессенджере) по номеру телефона Заказчика после получения соответствующей оплаты за Услугу. При этом, если информация, указанная на Сайте отличается от информации, указанной в сообщении, Стороны обязаны руководствоваться информацией, указанной в сообщении.
2. Заказчик обязан посещать все мероприятия, проводимые в рамках Пакета услуг. В случае пропуска Заказчиком мероприятий в рамках Пакета Услуг, такая встреча считается проведенной, а Услуги оказанными Заказчику в полном объеме.
3. Перенос мероприятий по инициативе Заказчика не предусматривается, все онлайн-встречи, практические задания, пропущенные Заказчиком засчитываются в счет оказанных Услуг, и оплата по ним не возмещается.
4. При решении вопроса о возврате денежных средств Заказчик принимает, что Исполнитель вправе удержать фактически понесенные им расходы. Стоимость расходов формируется исходя из оказанных Заказчику услуг и устанавливается выше в соответствующем Приложении.
5. Надлежащим оказанием услуг является:
предоставление доступа Заказчику на Платформе Материалов Исполнителя на условиях простой неисключительной лицензии;
проведение установленного количества онлайн-встреч (в том числе вебинаров, тренингов, мастер-классов, эфиров), разборов, установленному для Пакета Услуг.
6. Стоимость Пакета услуг определяется на Сайте продажи, фиксируется в электронном сообщении, направленном по электронной почте или в сервисе для обмена мгновенными сообщениями (мессенджере) по номеру телефона Заказчика после получения соответствующей оплаты за Услугу.